Skip to content Skip to sidebar Skip to footer

Widget HTML #1

How To Find Oblique Asymptotes Calculus : Edited oct 1 '12 at 20:31.

How To Find Oblique Asymptotes Calculus : Edited oct 1 '12 at 20:31.. What are the rules for finding vertical asymptotes? A slant (oblique) asymptote usually occurs when the degree of the polynomial in the numerato. In your example, lim x → + ∞ 4 x 2 + x + 6 x = 2 and lim x → + ∞ 4 x 2 + x + 6 − 2 x = 1 4. In the given equation, we have a 2 = 9, so a = 3, and b 2 = 4, so b = 2. The slant asymptote is the polynomial part of the answer, so:

The slant asymptote is the polynomial part of the answer, so: For rational functions, oblique asymptotes occur when the degree of the numerator is one more than the degree of the denominator. In the given equation, we have a 2 = 9, so a = 3, and b 2 = 4, so b = 2. How do you find the oblique asymptotes of a function? B = lim x → ± ∞ f ( x) − a x.

How Do You Find Vertical Horizontal And Oblique Asymptotes For X 2 5 X 3 Socratic
How Do You Find Vertical Horizontal And Oblique Asymptotes For X 2 5 X 3 Socratic from useruploads.socratic.org
If the largest exponent of the numerator is larger than. Otherwise, continue on to the worked examples. A slant (oblique) asymptote usually occurs when the degree of the polynomial in the numerato. What are the horizontal and oblique asymptotes? A note for the curious regarding the horizontal and slant asymptote rules. If f has an oblique asymptote (call it y = a x + b ), you will have: A = lim x → ± ∞ f ( x) x. In your example, lim x → + ∞ 4 x 2 + x + 6 x = 2 and lim x → + ∞ 4 x 2 + x + 6 − 2 x = 1 4.

This math video tutorial shows you how to find the horizontal, vertical and slant / oblique asymptote of a rational function.

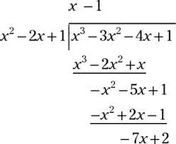
A slant (oblique) asymptote usually occurs when the degree of the polynomial in the numerato. If the largest exponent of the numerator is larger than. What are the rules for finding vertical asymptotes? This math video tutorial shows you how to find the horizontal, vertical and slant / oblique asymptote of a rational function. In such a case the equation of the oblique asymptote can be found by long division. In the given equation, we have a 2 = 9, so a = 3, and b 2 = 4, so b = 2. 👉 learn how to find the slant/oblique asymptotes of a function. For rational functions, oblique asymptotes occur when the degree of the numerator is one more than the degree of the denominator. How do you find the oblique asymptotes of a function? Look at the exponents in the denominator and numerator. The asymptote as x → + ∞ is therefore y = 2 x + 1 4. The slant asymptote is the polynomial part of the answer, so: What are the horizontal and oblique asymptotes?

If the largest exponent of the numerator is larger than. Otherwise, continue on to the worked examples. A slant (oblique) asymptote usually occurs when the degree of the polynomial in the numerato. What are the rules for finding vertical asymptotes? The slant asymptote is the polynomial part of the answer, so:

How Do You Find The Oblique Asymptotes Of A Function Magoosh Blog High School
How Do You Find The Oblique Asymptotes Of A Function Magoosh Blog High School from 2aih25gkk2pi65s8wfa8kzvi-wpengine.netdna-ssl.com
How do you find the oblique asymptotes of a function? In the given equation, we have a 2 = 9, so a = 3, and b 2 = 4, so b = 2. Otherwise, continue on to the worked examples. A note for the curious regarding the horizontal and slant asymptote rules. Edited oct 1 '12 at 20:31. The slant asymptote is the polynomial part of the answer, so: For rational functions, oblique asymptotes occur when the degree of the numerator is one more than the degree of the denominator. What are the rules for finding vertical asymptotes?

A slant (oblique) asymptote occurs when the polynomial in the numerator is one degree higher than the polynomial in the denominator.

In your example, lim x → + ∞ 4 x 2 + x + 6 x = 2 and lim x → + ∞ 4 x 2 + x + 6 − 2 x = 1 4. B = lim x → ± ∞ f ( x) − a x. Otherwise, continue on to the worked examples. The asymptote as x → + ∞ is therefore y = 2 x + 1 4. Enter your function into the y=editor. A slant (oblique) asymptote occurs when the polynomial in the numerator is one degree higher than the polynomial in the denominator. Write f (x) in reduced form step 2: A note for the curious regarding the horizontal and slant asymptote rules. What exactly is an oblique asymptote? If f has an oblique asymptote (call it y = a x + b ), you will have: Edited oct 1 '12 at 20:31. How do you find the oblique asymptotes of a function? 👉 learn how to find the slant/oblique asymptotes of a function.

This math video tutorial shows you how to find the horizontal, vertical and slant / oblique asymptote of a rational function. What are the horizontal and oblique asymptotes? The asymptote as x → + ∞ is therefore y = 2 x + 1 4. B = lim x → ± ∞ f ( x) − a x. Look at the exponents in the denominator and numerator.

Calculus Asymptotes Solutions Examples Videos
Calculus Asymptotes Solutions Examples Videos from i.ytimg.com
This means that the two oblique asymptotes must be at y = ±( b / a ) x = ±(2/3) x. Edited oct 1 '12 at 20:31. What exactly is an oblique asymptote? What are the horizontal and oblique asymptotes? This math video tutorial shows you how to find the horizontal, vertical and slant / oblique asymptote of a rational function. Enter your function into the y=editor. In such a case the equation of the oblique asymptote can be found by long division. If f has an oblique asymptote (call it y = a x + b ), you will have:

For rational functions, oblique asymptotes occur when the degree of the numerator is one more than the degree of the denominator.

The horizontal asymptote will be y = 0. This means that the two oblique asymptotes must be at y = ±( b / a ) x = ±(2/3) x. Look at the exponents in the denominator and numerator. 👉 learn how to find the slant/oblique asymptotes of a function. A = lim x → ± ∞ f ( x) x. B = lim x → ± ∞ f ( x) − a x. The slant asymptote is the polynomial part of the answer, so: In the given equation, we have a 2 = 9, so a = 3, and b 2 = 4, so b = 2. In such a case the equation of the oblique asymptote can be found by long division. For rational functions, oblique asymptotes occur when the degree of the numerator is one more than the degree of the denominator. A note for the curious regarding the horizontal and slant asymptote rules. Use this slant asymptote calculator to make your oblique asymptote calculations easier. How do you find the oblique asymptotes of a function?

A slant (oblique) asymptote occurs when the polynomial in the numerator is one degree higher than the polynomial in the denominator how to find oblique asymptotes. Use this slant asymptote calculator to make your oblique asymptote calculations easier.